On the Number of Parties 3: More Sophisticated Counting
The effective number of parties.

The previous entries in this series:
- On the Number of Parties 1: Basic Counting, Part 1
- On the Number of Parties 2: Basic Counting, Part 2
The number of parties matters for a variety of reasons. One is how easy or difficult will it be to pass legislation or, in parliamentary systems, how easy will it be to form a coalition to choose a government. This is a purely practical question on one level. Beyond that, when the electoral system actually allows for an adequate reflection of society, the number of parties is a way to see how fragmented the citizenry is and in what way. I am going to return to some other reasons to care about the number of parties on theoretical and philosophical grounds in the concluding post of this series (projected to be part 5).
Ok, so if we look at the four cases provided, what do we have to this point?
| Electoral Parties | Parliamentary Parties | |
| Germany 2021 | 47 | 7 |
| Israel 2021 | 39 | 13 |
| UK 2019 | ~25 | 11 |
| US 2020 | 28 | 2 |
I will caveat the above count to note that were I engaging in this exercise for an academic presentation or publication I would spend more time making sure my US count was accurate and delving deeper into the “other” category in the UK (I have marked it as roughly 25 electoral parties because the data I have lacks delineation of how many parties are in that category).
One immediately obvious aspect of these numbers is that regardless of the systems in place, the number of parties running for office is larger than the number that wins office. This is simply a function of the fact that candidates and parties can win votes, but not enough to win office A second observation might be that the US is quite the outlier with only two parties in its first chamber. A third item of note could be that Israel and the UK seem to have similar sized party systems based on raw counts, but if we go back and simply eye-ball the seat distributions, we likely would see that there is something wrong with making that assertion. After all, despite there being 11 different parties with seats in the House of Commons, only two of them have seats in the triple digits and the Conservatives have an absolute majority of seats in the chamber. This is to be compacted with the Knesset, wherein the largest party has only 25% of the seats.
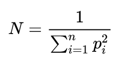
Most comparativists want more specificity than these kinds of counts can provide, so instead turn to a mathematical index, the effective number of parties. More specifically, two indices: the effective number of electoral parties, ENEP, and the effective number of parliamentary parties, ENPP. ENEP is also sometimes rendered Nv and ENPP as Ns where N is the effective number and “v” represents votes and “s” represents seats.
The effective number of parties is a measure of the fractionalization of a given system and accounts for the relative size of each party (whether in terms of vote share for ENEP or seat share for ENPP). It was first introduced by Laakso and Taagepera in 1979.*
Here’s the formula (where pi is either vote share or seat share):

While, like anything, N is not perfect, it does create a fairly intuitive and comparible number that raw counting simply cannot duplicate.
Here is ENPP for the four cases using the seat counts from the previous posts with the raw counts of parliamentary parties as a comparison:
| ENPP 2021 | Raw Count | |
| Germany | 4.842 | 7 |
| Israel | 8.521 | 13 |
| UK | 2.431 | 11 |
| US | 1.999 | 2 |
At a minimum, the ENPP provides a far more useful descriptive number of how fragmented a given legislative body is. And it gives one a truly comparable number, even if does not tell us everything we might need to know about a given party system (but more than just calling it “two-party” or “multiparty”). Due to incomplete data (or, more accurately, the time it would take me to compile complete data), I have not calculated ENEP for these four cases.
Here is Table 6.1 from ADD (p. 176), which included ENEP, ENPP, and a basic description of the electoral system deployed for the 31 cases in the book from 1990-2010 to provide some general comparisons, even if a bit dated at this point (not that most of these systems are radically different than the last decade, although Greece has reformed their system, as noted below):

Noteworthy is the only three cases with an ENEP of below three: the US, South Africa, and Greece. South Africa is unusual because, despite PR rules, the African National Congress is so dominant as to reduce both ENEP and ENPP to below three.
That the US has an ENEP under three just shows how dominant the Republicans and Democrats are and how little mathematical (and therefore political) significance third parties have.
During the period in that table, Greece used a bonus system that gave the party with the largest vote share extra seats (to theoretically increase stability). This changed in 2016. That system incentivized larger (and therefore fewer) parties.
To peruse the world in terms of ENEP and ENPP, see this list maintained by political scientist Michael Gallagher.
The next post will discuss Duverger’s Law and the basic relationship between electoral rules and the number of parties.
*Laakso, Markku and Rein Taagepera, ‘“Effective” number of parties: a measure with application to west Europe’, Comparative Political Studies 12:1 (1979), pp. 3-27

No post should go without comment. Especially a useful post. Coming from an engineering background, I pretty much automatically ask, “How is effective defined and measured?” and “How is that formula derived?” Thank you for the footnote linking to the source. Turns out it isn’t derived. It’s proposed as a hueristic. Which is to say effectiveness is not quantitatively defined, but offers a useful, if somewhat arbiitrary, way to compare systems that feels right and seems to work acceptably well in practice. Hueristics are fine, as long as everyone understands that’s what they are, and the, blessedly short, paper is explicit that that’s what they’re offering.
Good way to look at how the UK, with fewer parties, has effectively more parties than the U. S. Good post. Thanks. May we look forward to an interesting final installment, with fodder for a good comment discussion?
Just letting you know that despite the lack of comments this is fascinating 🙂 Don’t stop!
@gVOR08: Thanks for the comment. Yes, it is a heuristic. I would liken it to a lot of indices used in sports (like the ERA or the QB rating).
Fun fact: Taagpera’s Ph.D. is in Physics (his MA is in political science) but he made his career as a political scientist (he was one of my undergrad profs at UCI). He is one of the pioneers in electoral studies and co-wrote one of the key texts (with Shugart, who was one of his Ph.D. students): Seats and Votes in 1989. More recently he and Shugart wrote Votes from Seats.
@Just Another Ex-Republican: I appreciate that. It is a weird truth about blogging that I get more feedback from some silly nonsense post than something that takes actual time to write (not to mention that it is both annoying and amusing that people often argue with me about some pretty fundamental stuff in a given comment section will somehow never have the time to comment on posts like this one 😉
@Steven L. Taylor:
I think it’s a comment on human nature actually. For example, the above is what I chose to quote from your post?!?